고등학교 화학을 배울때 쯤이던가?
그때쯤 부터 등장하는 활성화 에너지, 보통 화학반응할때 나오는걸로 알고 있고, 그림하나로 대충 퉁 치고 넘어가기 때문에, 뭔지는 알고는 있지만 이걸 어디에 활용하는지 얼마나 다양한 형태의 활성화 에너지가 있는지는 잘 모르는 것 같다.

요런 그림을 많이들 봤을 거라 생각한다. A에서 B로 가려면 에너지상으로 낮아지는 방향이기 때문에 순방향이지만, 마냥 놔두면 갈 수 있다기 보다 일정 배리어인 활성화에너지(Ea)를 넘을 수 있는 녀석들만 간다고 설명을 한다. 물론 B에서 A로 갈 수 있다 활성화 에너지와 불안정한 state로 갈만한 충분한 에너지만 주어진다면..
굉장히 두루뭉술하게 설명되어있다. 왜그럴까?
말그대로 그냥 포괄적으로 부르는 것이기 때문이다. 반응에 대한 활성화 에너지, 분해에 대한 활성화 에너지, 상변화에 대한 활성화 에너지 등등등 뭔가 변화해서 에너지적으로 낮은 상태로 안정화가 되면서 나타나는 모든 현상에 활성화에너지를 다 가져다가 붙일 수 있고, 해당 현상에 따라 도출하는 방법이 다르기 때문이다.
그래서...
"누군가 우리 제품 뭐 스펙 좀 알려달라고 해서요. 활성화 에너지 계산해주세요!" 라고 누군가 부탁한다면, 이 사람은 활성화 에너지가 뭔지 개뿔 아무것도 모르는 사람이라고 보면 된다.
위키피디아 참조할때도 영어로 검색해서 확인하자.. 한글은 고등학교 수준으로.. 너무 부실하게 되어있다.
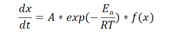
제일 먼저 나오는게 아마 Arrhenius equation일 것이다.

뭔가 복잡하지만, kinetics에서 다루었던 데서 다루었던 내용이니 익숙할 것이다. k는 속도 상수, A는 임의의 상수, R는 기체상수, T는 온도(계산 시 절대온도 사용)이다. 가장 기본형 틀인 형태이고, 한쪽 변이 속도 상수랑 연결되어있는 것을 볼 때 감이 좋은 사람들은 알 것이다.
"아, kinetic study에도 활용되는구나"
Thermodynamics에서도 활용된다. 계산하여서 어떤 물질 간의 반응이 더 유리한지 비교하는 식의 활용 말이다.
좀 더 정리된 말로 쓰자면,
어떠한 반응(현상)에 대해서 여러 조성, 촉매 조건, 반응 조건 등을 조절하면서 어떤 것이 반응에 유리하고, 빠를 것인가 또는 얼마나 환경에 잘 버틸 것인가 등을 판단하는 정량적 지표로 활성화 에너지를 사용한다.
가 되겠고, 'kinetic study를 위한 실험을 해야지 활성화 에너지를 계산할 수 있다.'고 볼 수 있다.
저번 포스팅에서 정량적 표현이 왜 중요한지 말한 바가 있다. "데이터 커브를 겹쳐보니 이게 제일 빨라요." 라고 말하는 것보다 "숫자로 보여주면서 이 조건에서의 활성화에너지가 이만큼 낮게 때문에 반응이 이만큼 쉽게 갑니다." 라고 하는 것이 보다 근거있는 발언이 될 것이다.
논리만 써놓으면 어떤식으로 활용하는지 감이 안올 것 같은 분들이 있을 것 같아서, 한가지 쉬운 예를 들어 활용 방법을 소개하고자 한다.
A라는 회사로부터 플라스틱 제품을 받아서, 오븐 내부의 구조물로 사용하려고 한다. 그런데 아무래도 플라스틱이다 보니 온도가 올라가면 빨리 망가지지 않을까? 걱정되어 A회사에 문의를 하였다.
"이 구조물을 오븐에 넣고 사용하는데, 매일 200도로 가열해서 하루에 8시간 사용하면 얼마나 쓸 수 있나요?"
이에 대해 A회사는 그렇게 사용하시는 경우 "두달 정도 무리없이 사용 가능하겠네요." "이후에는 새 제품으로 교체하시는게 좋겠습니다." 라고 하였다.
여기서 "두달 정도"에 대한 근거가 바로 활성화 에너지 계산을 통해서 도출될 수 있다.
A회사는 무슨 근거로 그리 말했을까?

우선 '변화하는 정도'를 나타내는 x변수(보통은 전환률이라고 부름)와 시간 개념이 필요하니 t가 들어가고, 얼마나 빠르게에 대한 항목인 k (반응속도 상수)가 필요하다. 위의 온도에 대한 term은 반응속도 상수에 들어있다. Arrhenius equation을 보게되면, k는 T의 함수인 것을 알수 있고 좀 더 이해를 돕기위해 k를 풀어서 식에 써보면..

위 처럼 나타난다. 그럼 얼마나 쓰면 망가질까는 전환률이 몇%일때 망가지더라를 판단하면 될 것이고, 식을 보면 시간, 전환률, 온도 다 들어가있다. 즉, 저 식을 풀면 200도에서 얼마나 버틸지 알 수 있다.
f(x)는 복잡해 보일지 모르지만, 지금 상황에 대해선 어렵게 생각할 필요가 전혀 없다.

초기 무게(mi)에서 제품이 열로 분해되서 고장나기 시작할 제품의 처음 무게(mc)에 대해 현재 시간 t에서의 무게를 고려하면 되니까.. 그럼 최종식은 다음처럼 된다.

이제 보면,
1. t는 우리가 0부터 차근차근 넣으면서 계산할 변수이고,
2. A는 상수, Ea도 상수, R도 상수, T는 위에 요구한게 200도이니 473.15K로 변환해서 넣으면 되고,
3. mi도 상수, mc도 상수, mt는 시간 t에서의 무게값을 넣으면 나오는 데이터이고,
4. x는 시간 t에서 f(x)를 계산하면 나오는 데이터이다.
그럼 뭐가 남는가? A, Ea값만 실험을 통해 계산해서 넣어주면 된다. 굉장히 복잡해 보이지만 다 숫자를 넣어주면 변수만 남는다. 그럼 변수는 측정한 데이터를 넣고 계산만 하면, 특정 온도 T에서 t가 얼마일때 전환률이 나온다.
즉, 온도 200도에서 시간이 얼마나 되면 무게가 얼마나 줄어드는지 예측할 수 있다.
활성화 에너지 계산하는 방법은 실험방법에 따라 여러가지가 있으니, 이건 나중에 소개 하도록 하련다. 보통은 Arrhenius식을 활용하거나, 열분석의 경우에는 Kisinger equation을 활용하는 편이다.
다만, 식의 형태를 보면 y'=a*y형태인 상미분 방정식꼴을 하고 있다. 즉, 시간 t에 따른 전환률을 계산하려면 컴퓨터로 코드를 짜서 계산하는 편이 편하다. 코드짜서 하는게 너무 어려울 것이라 생각들겠지만, 막상 해보면 별거없다. 인터넷에 검색하면 상미분 방정식에 대한 numerical analysis 코드 짜는 법이 다 있다. 고대로 붙여 넣고, 식만 바꾸고 상수값만 잘 넣고 하면 된다.
'공부 > 고분자 열분석, 고분자 구조' 카테고리의 다른 글
| 고분자 결정화 속도 공부, crystallization kinetics (17) | 2021.07.05 |
|---|---|
| 고분자 결정구조 (crystal structure of polymers)를 연구하는 이유 (24) | 2021.07.02 |
| DSC:경화거동(Curing kinetics) 2편, 반응속도론 (0) | 2021.06.08 |
| DSC: 경화거동(Curing kinetics) 1편, 경화율/경화시간 (3) | 2021.06.07 |
| DSC를 이용한 고분자 상변화 외 관찰할 수 있는것들 (2) | 2021.06.03 |